Logo
Explore Help
Sign In
Web-Projects/blog-static
1
0
Fork 0
You've already forked blog-static
Code Issues Pull Requests Releases Wiki Activity
Files
00b810599a441bede11fcf891b223f81c06af0f7
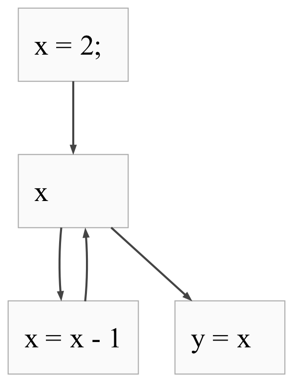
blog-static/content/blog/07_spa_agda_semantics_and_cfg/while-cfg.png
Danila Fedorin 65d290556f Write a new post about proving the connection between semantics and CFGs
Signed-off-by: Danila Fedorin <danila.fedorin@gmail.com>
2024-11-28 20:33:08 -08:00

14 KiB
600x783px
Raw History

/Web-Projects/blog-static/raw/commit/00b810599a441bede11fcf891b223f81c06af0f7/content/blog/07_spa_agda_semantics_and_cfg/while-cfg.png
Reference in New Issue View Git Blame Copy Permalink
Powered by Gitea Version: 1.25.2 Page: 1131ms Template: 109ms
English
Bahasa Indonesia Deutsch English Español Français Gaeilge Italiano Latviešu Magyar nyelv Nederlands Polski Português de Portugal Português do Brasil Suomi Svenska Türkçe Čeština Ελληνικά Български Русский Українська فارسی മലയാളം 日本語 简体中文 繁體中文(台灣) 繁體中文(香港) 한국어
Licenses API