This website requires JavaScript.
Explore
Help
Sign In
Web-Projects
/
blog-static
Watch
1
Star
0
Fork
0
You've already forked blog-static
Code
Issues
Pull Requests
Releases
Wiki
Activity
Files
21463ede20ca418cc53113243a5ce9e1e0772e22
blog-static
/
content
/
blog
/
06_spa_agda_cfg
/
if-cfg.png
Danila Fedorin
f2e424944e
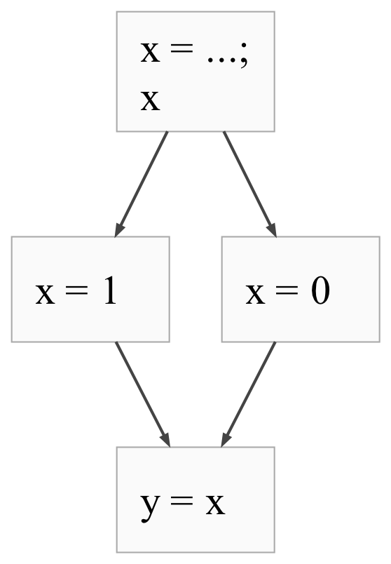
Start working on the control flow graphs post
...
Signed-off-by: Danila Fedorin <
danila.fedorin@gmail.com
>
2024-11-13 19:57:08 -08:00
21 KiB
558x804px
Raw
History
Reference in New Issue
View Git Blame
Copy Permalink